Determinan matriks merupakan suatu nilai yang dihitung dari unsur-unsur matriks persegi. Ingat, hanya matriks persegi yang bisa dihitung determinannya.
Setelah memahami pengertian determinan matriks, kamu pasti penasaran bagaimana rumus untuk menghitung determinan matriks ini. Determinan dari suatu matriks biasanya akan ditulis sebagai `det A`, `det(A)`, atau `det |A|`.

Nah, dari matriks tersebut kita akan punya dua diagonal sebagaimana berikut:
Determinan matriks ordo 2x2 dapat diperoleh dengan cara mengurangkan hasil kali diagonal utama dengan hasil kali diagonal kedua. Kalau dituliskan ke dalam rumus maka akan seperti ini :

Berbeda dengan matriks ordo 2x2, pada matriks ordo 3x3 ini ada dua rumus yang bisa kamu gunakan untuk mencari nilai determinan pada suatu matriks. Pertama menggunakan aturan Sarrus dan kedua memakai metode minor kofaktor. Apa sih perbedaan keduannya? Yuk kita simak!
Misalkan nih kamu punya matriks Q berordo 3x3 sebagai berikut:

Seperti inilah rumus untuk menghitung determinannya menggunakan kedua metode tersebut!
Untuk menggunakan aturan sarrus, kamu harus menambahkan kolom pertama yang berisikan a,d,g dan kolom kedua kedua yang berisikan b,e,h di sebelah matriks utama seperti berikut.



Setelah itu seperti menghitung determinan matrik pada ordo 3x3, kamu tinggal menjumlahkan seluruh perkalian diagonal utama kemudian dikurangkan penjumlahan matriks diagonal kedua seperti rumus berikut:

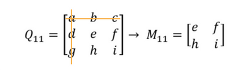
Ada dua elemen yang harus dicari jika akan menggunakan aturan ini, pertama adalah Minor dan yang kedua adalah kofaktor. Untuk mencari nilai Minor maka kamu harus menghilangkan salah satu baris atau kolom terlebih dahulu. Misalnya nih kamu ingin menghilangkan baris nomor satu yang berisi a, b, dan c. Maka kamu akan memperoleh 3 minor dari matriks tersebut sebagaimana berikut: Q11 yang berarti Minor kesatu atau M11 diperoleh dengan menghilangkan elemen di baris ke-1 dan kolom ke-1.

Q12 yang berarti Minor kesatu atau M12 diperoleh dengan menghilangkan elemen di baris ke-1 dan kolom ke-2.

Q13 yang berarti Minor kesatu atau M13 diperoleh dengan menghilangkan elemen di baris ke-1 dan kolom ke-3.

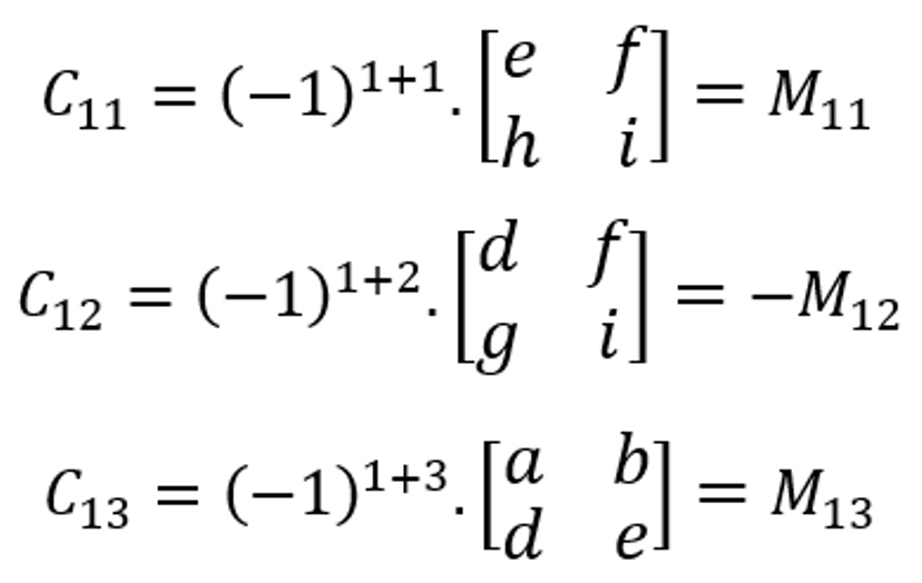
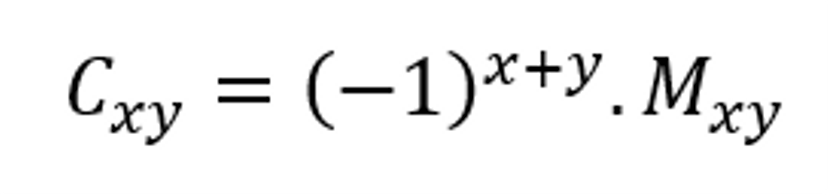
Selanjutnya kamu harus mencari nilai kofaktor yang biasanya dilambangkan dengan C atau K. Nilai ini bisa kamu dapatkan dengan rumus:

Maka dari rumus tersebut kita akan dapat tiga kofaktor sebagai berikut:

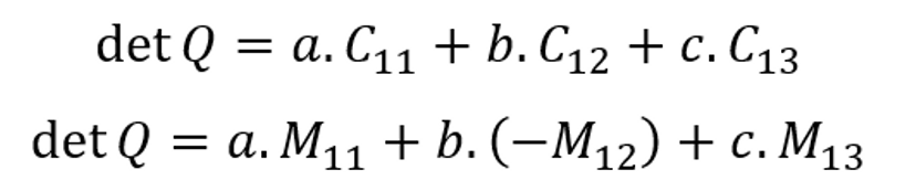
Setelah Minor dan Kofaktornya ketemu, maka kamu bisa menghitung nilai determinannya dengan rumus berikut:

Bagaimana, sudah paham sampai disini? Biar makin paham, nanti kita akan berikan contoh soal di bawah ya!
Sebelum membahas contoh soal, penting untuk memahami sifat-sifat dari determinan matriks. Jika X dan Y merupakan matriks berordo nxn, maka sifat determinan matriks dapat dirangkum sebagai berikut: